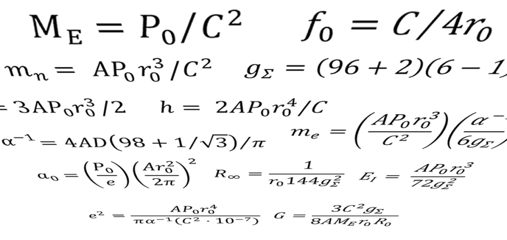
Analyzing the Derivations
In any theoretical framework, a critical concern is whether the system relies on arbitrarily tuned
parameters or operates within a tightly constrained framework based on consistent conceptual
principles. Many physical models employ loosely tuned parameters—essentially adjustable
knobs—that offer flexibility but can undermine internal consistency. In contrast, QWST derives
its fundamental constants from a small set of interdependent parameters, rigorously
constrained within the conceptual foundation. Its mathematical derivations are exceptionally
tight; even minor adjustments result in rapid error increases, underscoring the precision of the
equations. Moreover, these parameters arise consistently from the foundational principles of
quantum wavespace, rather than from arbitrary adjustments. This stands in contrast to many
physical models, where conceptually inconsistent ideas are often introduced to justify arbitrary
tuning. Part IV forms the essential bridge between the foundational equations of Part I and the
comprehensive derivations detailed in Parts V–IX.
.

Leave a comment